Podpri delovanje neodvisnega raziskovalnega medija prava.si
POSLANEC GIBANJA SVOBODA DEJAN Süč LAGAL POD PRISEGO? Bo doživel ISTO RIGOROZNO POSTOPANJE KOT NOVINAR PRAVA LUKA PERŠ????
Ali bodo državni uslužbenci kraljice postopkov- tožilstvo v MS enako rigorozno ukrepali v primeru sedanjega poslanca Gibanje Svoboda Dejana Süča kot je to v preteklosti doživel novinar Prava.si Luka Perš??? Posredujemo dokumentacijo. Sodba je vaša!
prava .

Torek, 17. Marec 2026 ob 19:33

Odpri galerijo

Foto: Posnetek zaslona- Gibanje Svoboda, Vrhovno državno tožilstvo, Luka Perš arhiv, Požareport, bralec Prava.si.

V delu slovenske javnosti je v preteklosti dosegel velik odmev rigoroznega postopanja državnega uslužbenca v imenu kraljice postopkov, državnega okrožnega tožilca Primoža Horvata iz Murske Sobote, v primeru novinarja Prava.si Luke Perša. Pod sodbo se je podpisal sedanji predsednik Okrožnega sodišča v Murski Soboti Stanislav Žižek. Po našem vloženem ugovoru se bo primer preselil v sodno dvorano.

Foto: Posnetek zaslona-Nova24tv

Glej ga zlomka – zdaj smo v naše uredništvo dobili primer, ki nakazuje, da bi moral nekdo iz Okrožnega državnega tožilstva v Murski Soboti enako rigorozno postopati proti sedanjemu poslancu Gibanja Svoboda Dejanu Süču.

Foto: Prava.si

V našem mediju smo že večkrat omenjali sedanjega poslanca Gibanja Svoboda iz okolice Lendave, Dejana Süča . Tako smo razkrili predvsem njegove dodatne mesečne zaslužke v višini 4000 evrov pri Pomurski madžarski samoupravni narodni skupnosti v članku z naslovom Dejan Süč, Tomaž Vesel Golobove vlade! V popoldanskem šihtu zasluži vsak mesec štiri tisoč evrov! Za kmetijstvo se mu FUČKA!! ter Madžari jezni na Dejana Süča! Kdaj bo ukrepala Irena Šinko in Süču ZABIČALA, da se naj NEHA ZAJEBAVATI S PRIVATNIMI BIZNISI!.

V letu 2024 pa smo razkrili še en incident, ki ga je po pričevanju zaposlenih Süč zakuhal v gostinskem delu lendavske turistične atrakcije Vinarium, o čemer smo pisali v članku z naslovom Poslanec Gibanja Svobode Dejan Süč naredil incident v lokalu Vinariuma!? Vpil na zaposlene "A veš kdo sem jaz?".


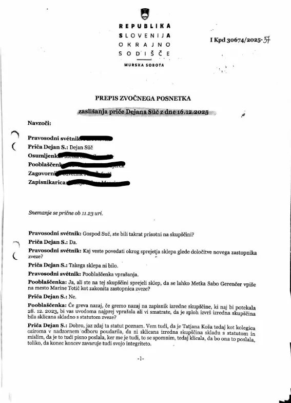
V naše uredništvo smo dobili dokumentacijo, ki vsaj nakazuje naznanilo suma kaznivega dejanja poslanca Süča . Sodeč po tem, kar smo videli, bi moral poslanec po nekaterih členih kazenskega zakonika odgovarjati za naznanilo suma krivega pričanja.

V enem izmed dogodkov znotraj Lendavske turistične zveze lahko zelo verjetno domnevamo, da se je zgodil sum krivega pričanja Suča kot priče v enem izmed postopkov na sodiščih v Pomurju. Pozabil je, da je na eni izmed skupščin leta 2023 glasoval za sklep, da ena izmed predstavljenih kandidatk zasede eno izmed višjih funkcij znotraj te zveze. Pa še sam jo je predlagal in oblikoval svet, o katerem so glasovali vsi prisotni!

Sklep iz skupščine Turistične zveze Lendave. (Foto: Bralec Prava.si)

Na sodišču je kot priča gladko povedal, da o tem sklepu ni glasoval in da se ni strinjal s tem, da ta kandidatka v prihodnje zasede eno izmed višjih funkcij znotraj zveze. Po njegovem mnenju je glasoval, da omenjena kandidatka zasede funkcijo vršilke dolžnosti brez pooblastil.

Vendar smo v uredništvo pridobili tako zvočno dokumentacijo kot pisno dokumentacijo, kjer je jasno vidno, da lahko – vsaj sodeč po zbranem gradivu – domnevamo naznanilo suma kaznivega dejanja Dejana Süča zaradi krivega pričanja.

Bomo videli, ali bodo državni uslužbenci kraljice postopkov v Murski Soboti enako rigorozni pri ukrepanju proti poslancu Gibanja Svoboda Dejanu Süču , kot so bili proti novinarjuPrava.si?

Foto: Posnetek zaslona- Požareport.

Ali bo pravna država enkrat dokazala, da NEDOTAKLJIVA ELITA po 35 letih samostojnosti naše države več ne obstaja?

Tukaj je preizkus za pravno državo. Ali bomo navadni državljani, kritiki katerekoli oblasti ter še preostali misleči v naši družbi ves čas deležni postopkov, ker se nam je zgodila človeška napaka – in smo zaradi te napake plačali kazni ali celo končali v zaporu? Zdaj vas zmerjajo, da ste kriminalci!

Jebiga – jaz sem v življenju odgovarjal za tisoč napak in še danes jih delam. Sem taka osebnost. Za svoje napake sem vedno prevzel odgovornost in jih priznal. Tudi odločitve pravne države sem sprejel ter svoje kazni odslužil. Upam, da sem se iz tega tudi kaj naučil.

Realno imam mir, a sem se vseeno znašel v sodni farsi v režiji enega izmed bratov znane podjetniške družine z Dolenjske. Ampak če je sedanji ključni izzivalec aktualnega premierja preživel že na stotine takih primerov in izkusil, kaj pomeni pravna država v naši družbi, bom tudi jaz.

In še marsikateri slovenski novinar preživlja isto usodo v sodnih dvoranah zaradi svojih razkritij. Ampak #ellocosi – ne predamo se. To je moja prednost. Zato si tudi upamo zapisati več kot drugi slovenski mediji. Tako se med sabo dopolnjujemo. Potem je treba vse te informacije samo postaviti v pravi kontekst. To je vsa umetnost. Pri analizi politike so me izučili brata Lukšič, profesorji Balažic, Pikalo, Vrhovnik in Prunk. Od vsakega sem nekaj pobral.

Zato je čas, da prihajajoče parlamentarne stranke v naslednji sestavi Državnega zbora prevzamejo skupno državljansko dolžnost in podpišejo jasno izjavo: DOVOLJ JE. Da se zavežejo, da ne bodo ubogale ukazov tistih, ki na volitvah sploh ne nastopajo kot politični kandidati ali pa nikoli niso. Spoštovani prihodnji poslanci hrama slovenske demokracije – odgovornost je na vas. Tukaj ne gre za ideologijo.

Potem pa se sprašujete, zakaj vas zaradi benignosti preganja kraljica postopkov – tožilstvo – v slovenskih sodnih dvoranah. To traja 5, 10, 15, 20 let! HALO!!! A se vam to zdi normalno za 4 do 10 tisoč evrov neto mesečno za štiri leta mandata????? Dobro – potem pa ste res poceni!

Aja – tukaj si lahko ogledate celotno dokumentacijo primera poslanca Gibanja Svoboda Dejana Süča . Odločitev je vaša.

KAZENSKA OVADBA in Pričanje Dejana Süča:

Prepis ene izmed prič:

Zapisnik skupščine Turstične zveze Lendava:

Luka Perš

Galerija slik

Zadnje objave

Tue, 17. Mar 2026 at 19:33

4130 ogledov

POSLANEC GIBANJA SVOBODA DEJAN Süč LAGAL POD PRISEGO? Bo doživel ISTO RIGOROZNO POSTOPANJE KOT NOVINAR PRAVA LUKA PERŠ????
V delu slovenske javnosti je v preteklosti dosegel velik odmev rigoroznega postopanja državnega uslužbenca v imenu kraljice postopkov, državnega okrožnega tožilca Primoža Horvata iz Murske Sobote, v primeru novinarja Prava.si Luke Perša. Pod sodbo se je podpisal sedanji predsednik Okrožnega sodišča v Murski Soboti Stanislav Žižek. Po našem vloženem ugovoru se bo primer preselil v sodno dvorano.Foto: Posnetek zaslona-Nova24tvGlej ga zlomka – zdaj smo v naše uredništvo dobili primer, ki nakazuje, da bi moral nekdo iz Okrožnega državnega tožilstva v Murski Soboti enako rigorozno postopati proti sedanjemu poslancu Gibanja Svoboda Dejanu Süču.Foto: Prava.siV našem mediju smo že večkrat omenjali sedanjega poslanca Gibanja Svoboda iz okolice Lendave, Dejana Süča . Tako smo razkrili predvsem njegove dodatne mesečne zaslužke v višini 4000 evrov pri Pomurski madžarski samoupravni narodni skupnosti v članku z naslovom Dejan Süč, Tomaž Vesel Golobove vlade! V popoldanskem šihtu zasluži vsak mesec štiri tisoč evrov! Za kmetijstvo se mu FUČKA!! ter Madžari jezni na Dejana Süča! Kdaj bo ukrepala Irena Šinko in Süču ZABIČALA, da se naj NEHA ZAJEBAVATI S PRIVATNIMI BIZNISI!.V letu 2024 pa smo razkrili še en incident, ki ga je po pričevanju zaposlenih Süč zakuhal v gostinskem delu lendavske turistične atrakcije Vinarium, o čemer smo pisali v članku z naslovom Poslanec Gibanja Svobode Dejan Süč naredil incident v lokalu Vinariuma!? Vpil na zaposlene "A veš kdo sem jaz?".V naše uredništvo smo dobili dokumentacijo, ki vsaj nakazuje naznanilo suma kaznivega dejanja poslanca Süča . Sodeč po tem, kar smo videli, bi moral poslanec po nekaterih členih kazenskega zakonika odgovarjati za naznanilo suma krivega pričanja.V enem izmed dogodkov znotraj Lendavske turistične zveze lahko zelo verjetno domnevamo, da se je zgodil sum krivega pričanja Suča kot priče v enem izmed postopkov na sodiščih v Pomurju. Pozabil je, da je na eni izmed skupščin leta 2023 glasoval za sklep, da ena izmed predstavljenih kandidatk zasede eno izmed višjih funkcij znotraj te zveze. Pa še sam jo je predlagal in oblikoval svet, o katerem so glasovali vsi prisotni!Sklep iz skupščine Turistične zveze Lendave. (Foto: Bralec Prava.si)Na sodišču je kot priča gladko povedal, da o tem sklepu ni glasoval in da se ni strinjal s tem, da ta kandidatka v prihodnje zasede eno izmed višjih funkcij znotraj zveze. Po njegovem mnenju je glasoval, da omenjena kandidatka zasede funkcijo vršilke dolžnosti brez pooblastil.Vendar smo v uredništvo pridobili tako zvočno dokumentacijo kot pisno dokumentacijo, kjer je jasno vidno, da lahko – vsaj sodeč po zbranem gradivu – domnevamo naznanilo suma kaznivega dejanja Dejana Süča zaradi krivega pričanja.Bomo videli, ali bodo državni uslužbenci kraljice postopkov v Murski Soboti enako rigorozni pri ukrepanju proti poslancu Gibanja Svoboda Dejanu Süču , kot so bili proti novinarjuPrava.si?Foto: Posnetek zaslona- Požareport.Ali bo pravna država enkrat dokazala, da NEDOTAKLJIVA ELITA po 35 letih samostojnosti naše države več ne obstaja?Tukaj je preizkus za pravno državo. Ali bomo navadni državljani, kritiki katerekoli oblasti ter še preostali misleči v naši družbi ves čas deležni postopkov, ker se nam je zgodila človeška napaka – in smo zaradi te napake plačali kazni ali celo končali v zaporu? Zdaj vas zmerjajo, da ste kriminalci!Jebiga – jaz sem v življenju odgovarjal za tisoč napak in še danes jih delam. Sem taka osebnost. Za svoje napake sem vedno prevzel odgovornost in jih priznal. Tudi odločitve pravne države sem sprejel ter svoje kazni odslužil. Upam, da sem se iz tega tudi kaj naučil.Realno imam mir, a sem se vseeno znašel v sodni farsi v režiji enega izmed bratov znane podjetniške družine z Dolenjske. Ampak če je sedanji ključni izzivalec aktualnega premierja preživel že na stotine takih primerov in izkusil, kaj pomeni pravna država v naši družbi, bom tudi jaz.In še marsikateri slovenski novinar preživlja isto usodo v sodnih dvoranah zaradi svojih razkritij. Ampak #ellocosi – ne predamo se. To je moja prednost. Zato si tudi upamo zapisati več kot drugi slovenski mediji. Tako se med sabo dopolnjujemo. Potem je treba vse te informacije samo postaviti v pravi kontekst. To je vsa umetnost. Pri analizi politike so me izučili brata Lukšič, profesorji Balažic, Pikalo, Vrhovnik in Prunk. Od vsakega sem nekaj pobral.Zato je čas, da prihajajoče parlamentarne stranke v naslednji sestavi Državnega zbora prevzamejo skupno državljansko dolžnost in podpišejo jasno izjavo: DOVOLJ JE. Da se zavežejo, da ne bodo ubogale ukazov tistih, ki na volitvah sploh ne nastopajo kot politični kandidati ali pa nikoli niso. Spoštovani prihodnji poslanci hrama slovenske demokracije – odgovornost je na vas. Tukaj ne gre za ideologijo.Potem pa se sprašujete, zakaj vas zaradi benignosti preganja kraljica postopkov – tožilstvo – v slovenskih sodnih dvoranah. To traja 5, 10, 15, 20 let! HALO!!! A se vam to zdi normalno za 4 do 10 tisoč evrov neto mesečno za štiri leta mandata????? Dobro – potem pa ste res poceni!Aja – tukaj si lahko ogledate celotno dokumentacijo primera poslanca Gibanja Svoboda Dejana Süča . Odločitev je vaša.KAZENSKA OVADBA in Pričanje Dejana Süča:Prepis ene izmed prič:Zapisnik skupščine Turstične zveze Lendava:Luka Perš

Wed, 4. Mar 2026 at 13:35

5707 ogledov

PODLO IN SPRIJENO?? V humanitarni akciji reševanja Slovencev iz Omana naj bi davkoplačevalce oškodovali za 800 tisoč evrov??!
Ali se je v sedanji vladi pod vodstvom dr. Roberta Goloba zgodila nova afera? Vse kaže, da bi lahko šlo za zgodbo, vredno najmanj 800 tisoč evrov. Po vojaškem napadu na Iran je bilo že v preteklem mesecu mogoče slutiti, da se razmere zaostrujejo. V povračilnih napadih je Iran ciljal tudi na nekatere zalivske sosede, med njimi Katar in Združene arabske emirate, ki veljata za pomembni svetovni vozlišči letalskega prometa.Po prvem šoku je vlada ugotovila, da se na ogroženih območjih ne nahaja le 150 slovenskih državljanov, temveč med 800 in 1.000. Ob tem se postavlja tudi vprašanje odgovornosti tistih, ki so se kljub opozorilom Ministrstva za zunanje in evropske zadeve odločili za potovanje na ta območja.Foto: Posnetek zaslona- X Karin PlaninšekToda pri nas se še tako plemenita akcija hitro znajde pod sumom netransparentnega ravnanja z javnim denarjem. Med vidnejšimi imeni v diplomaciji je že dlje časa Mojca Seliškar Toš. Po poročanju medijev naj bi si prav ona pripisala zasluge za varno vrnitev več sto Slovencev iz ogroženih držav na Bližnjem vzhodu.Mojca Seliškar Toš je od junija 2025 zaposlena v kabintetu predsednika vlade dr. Roberta Goloba kot svetovalka za humanitarne katastrofe. (Foto: Posnetek zaslona-N1 Slovenija)Ključno vprašanje pa ostaja: ali je bila humanitarna akcija preplačana?Javnost je presenetila predvsem navedena cena poleta. Po razpoložljivih informacijah naj bi država za dva leta iz Omana plačala kar 1,5 milijona evrov. Težko je verjeti, da so bile razmere primerljive s časom pandemije, ko so bile cene letalskih prevozov zaradi izrednih okoliščin bistveno višje.Na nas se je obrnil poznavalec letalske industrije, ki poslovno deluje v zalivskih državah. Po njegovih besedah naj bi bila odločitev, da se jordanskemu letalskemu ponudniku za dva poleta v Oman plača 1,5 milijona evrov, nerazumna in ekonomsko težko utemeljena.To je letalo, ki naj bi več kot 800 državljanov naše države varno pripeljali nazaj v domovino. (Foto: Posnetek zaslona- Demokracija)Po njegovih ocenah stane čarterski let z letalom tipa B737 med 18 in 21 tisoč dolarjev na uro. V primeru širokotrupnega letala, kot sta B777 ali A330, bi cena znašala največ 30 tisoč dolarjev na uro. Temu je treba prišteti še letališke pristojbine in časovne slote, kar običajno ne presega desetih odstotkov celotne cene. Let iz Slovenije v Oman traja približno šest ur, povratni let približno sedem ur. Če upoštevamo najvišjo ocenjeno ceno 30 tisoč dolarjev na uro, bi enosmerni let stal okoli 180 tisoč dolarjev, povratni pa približno 210 tisoč dolarjev, ob dodatku pristojbin. Skupni strošek povratnega leta bi tako po teh ocenah znašal približno 430 tisoč dolarjev. Če to pomnožimo z dvema letoma, pridemo do približno 860 tisoč dolarjev, kar pomeni okoli 740 tisoč evrov.Ob teh izračunih se poraja vprašanje: kako upravičiti razliko do zneska 1,5 milijona evrov? Mogoče pa je zato v akcijo skočila humanitarka za Gazo in članica vladnega kabineta predsednika vlade Mojca Seliškar Toš, še ena iz nedotakljive družine TOŠ.Luka Perš

Tue, 24. Feb 2026 at 13:49

4817 ogledov

BOJAN PETAN JE NEDOLŽEN!? ALI SE BO PETANU ZGODIL ISTI SCENARIJ KOT SO GA DOŽIVELI JANŠA, NADZORNIKI LUKE KOPER, MILOVIĆ?!!!
Kaj imajo skupnega nekdanji trikratni predsednik vlade Republike Slovenije Janez Janša, nekdanji nadzorniki Luke Koper iz časa prve Janševe vlade in vplivni gospodarstvenik Bojan Petan, ki spada v krog gospodarske-obveščevalnega kraka rdeče aristokracije? Vsi so se do konca življenja zamerili banksterskemu omrežju Boruta Jamnika in pravosodnemu omrežju izvirajoč iz sedaj likvidirane Splošne plovbe Portorož, ki ga že dlje časa obvladujeta odvetniški dvojec Velkaverh – Starman s svojimi podaniki v vrstah dela tožilstva (Specializirano državno tožilstvo- SDT), policije (gospodarski oddelki policije, SKP Koper) in sodstva (Okrožno in višje sodišče v Kopru, Vrhovno sodišče).Nekdanja predsednika Vrhovnega sodišča Republike Slovenije, Damijan Florjančič in Branko Masleša. (Foto: Posnetek zaslona-Nova24tv)Ena ključnih institucij za pregon organiziranega kriminala predstavlja Specializirano državNo tožilstvo. Vendar težava nastane, ko se sama institucija prične obnašati kot politična policija v slogu nekdanje Službe državne varnosti. Zato nas ne morejo čuditi primeri v preteklih desetih, petnajstih ali dvajsetih letih, ko so kot domine padali nekateri razvpiti primeri v državi predvsem na višjih sodnih inštancah v Evropi. Dokler plačuješ, si svoboden. Ko se plačevanje dote preneha, se hitro znajdeš pred roko pravice.Foto: Prava.siZdaj se je v isti zanki znašel Bojan Petan v zadevi Marina Portorož- Terme Čatež. Vendar kdor si je zelo pozorno prebral ZAKON O FINANČNIH KONGLOMERATIH bo hitro ugotovil, da v tej zadevi niso naredili popolnoma nič nezakonitega. Le finančna sredstva so se razporejala znotraj holdinga.Foto: Posnetek zaslona- Uradni list.Ker je Petanov holding Državna založba Slovenija razporejala z več 100- milijonskimi sredstvi za upravljanje holdinga, je tudi znotraj družb v njihovi lasti prihajalo do tega, da so si posamezne družbe med sabo nakazovale tudi 30 milijonov evrov, da so lahko katero izmed družb, kjer so bili prej le delni lastniki postali večinski lastniki.Foto: Posnetek zaslona- Info360Petan ni delal nič drugače kot to počnejo holdingi v lasti najbogatejšega Slovenca Dareta Južne ali pa moji nekdanji sosedje iz moje vasi, družina Polanič. Vendar če nisi naš, boš dobil PEKEL! To se je v preteklosti zgodilo tako z imperiji Staneta Valanta, Janeza Bohoriča, Igorja Bavčarja ali pa podjetnika iz Celja s priimkom Zupanc. V kateri skupini bo pristal Petan?O tem primeru bomo v našem mediju pisali enkrat v prihodnje, kjer se bo razkrila vsa ugrabljenost slovenskega bančnega in pravnega sistema. (Foto: Posnetek zaslona-Finance)Ali se spet ponavlja stara zgodba? V našem mediju smo že večkrat opozarjali na delovanje Specializiranega državnega tožilstva, ki velja za samostojno in neodvisno enoto tožilstva znotraj Vrhovnega državnega tožilstva. Kar bi naj izgledalo kot neodvisen boj in preganjanja vseh tistih, ki so zagrešili kaznivo dejanje se je spremenilo dobesedno DRŽAVO V DRŽAVO! znotraj tožilske veje oblasti.Foto: Prava.siKaj smo že opozarjali v našem zapisanen članku z naslovom Zakaj je primer MILOVIČ ŠOLSKI PRIMER IZVAJANJE SELEKCIJE NA TRGU S STRANI KRALJICE POSTOPKOV-TOŽILSTVA GROBARJEV SLOVENIJE? Z dne 19. april 2024:»Primer Milović le dokazuje, da kraljica postopkov-tožilstvo po naročilu naročnikov, ki spominjajo na organizirano kriminalno združbo akterjev grobarjev slovenskega gospodarstva in politike VSEH IDEOLOŠKIH BARV izvaja selekcijo na trgu. »Verjetno so to na sebi najbolj občutili nekdanji nadzorniki Luke Koper, ki veljajo za prve obsojene nadzornike v Sloveniji. Vendar za zadevo, kjer so popolnoma NEDOLŽNI!Foto: Prava.siLahko pa bi kraljica postopkov-tožilstvo malce pogledala delovanje posameznih članov Združenje nadzornikov Slovenije, kjer je predsednik Gorazd Podbevšek, višji član uprave Slovenskih železnic in dolgoletni kader bansketerskega omrežja Boruta Jamnika. Seveda ne bo, ker je tudi iz njihove strani UGRABLJENA!Foto: Posnetek zaslona- Nova24tvVerjetno je to na sebi občutil tudi trikratni predsednik vlade in dolgoletni predsednik stranke Slovenske demokratske stranke Janez Janša. Kar nekaj procesov je doživel na svoji koži v času samostojne Slovenije. Patria, Trenta in prestitutka. Zakaj je bil v dveh primerih obsojen, v enem primeru pa je šele Ustavno sodišče razveljavilo sodbo si lahko odgovorite sami.Foto: Prava.siMi smo že v članku z naslovom Zadeva Trenta: Ali bo večnim scenaristom "ki jih ni v sodni dvorani" spet uspelo? Kdaj se bo to prenehalo!!! OPROSTITEV!!! zapisali sledeče:»Kdaj bo slovensko pravosodje nehalo slediti pripravljenim sodnim procesom "spakiranih na USB-ključkih"za proti tistim, ki jih smrtno sovražijo zaradi njihovih političnih idej ali pa proti posameznikom, ki so svoj kapital vložili v "napačen projekt". Bojan Petan doživlja isto usodo kot Janez Janša! Oba sta se do smrti zamerila banksterskemu omrežju Boruta Jamnika in neformalni usihajajoči skupini KOMANDOS, ki je ugrabila ključne zvode pravosodja s kadri SPLOŠNE PLOVBE PORTOROŽ! PIKA. DOKONČNA PIKA!Foto: Prava.siKako je Bojan Petan bil dolgoletni varovanec obeh OBALNIH VPLIVNIH OMREŽJIH? Kdo je napisal ovadbo?Enes Lojo je še eden izmed posameznikov, ki je bil zvest ideji neformalne skupine Komandos, na katere je opozoril nekdanji direktor Splošne plovbe Viljem Volk. (Foto: Posnetek zaslona-Pozareport)Ali bo Bojan Petan spoznal resnico slovenskega pravosodja? Kot kaže, se trenutek resnice nezadržno približuje. O Bojanu Petanu je bila realno v zadnjih dveh letih skoraj popolna tišina, razen ko se je pisalo o njegovih obalnih poslih (teniška igrišča v Portorožu, Žusterna).Foto: Prava.siPetan, ki je dlje časa mislil, da je zavarovan pred obema kriminalnima združbama, bo, kot kaže, spoznal bridko resnico. Kriv pa si je popolnoma sam – kaj pa uboga oranžne »zares« ultra svetovalce z Dolenjske, ki se igrajo kmete na Obali.Velik imperij Petana se mu je sesedel tisti trenutek, ko je struja modrega dečka in njegovega samooklicanega rejnika iz LUKE KOPER s svojimi kadri prevzela tisti krak oziroma linijo razvpitega luksemburšega sklada York, ki je upravljal s skritimi milijoni slovenskega kapitala v tem skladu. Poslovna smrt Petana se je začela tisti trenutek, ko mu je njegova trojka Vukovič–Cirman–Modic pobegnila na državni Siol.Ne pozabite, vsak postopek se prične z ovadbo. Ovadba je scenarij, po kateri kraljica postopkov- tožilstvo trpinči žrtev deset, petnajst ali dvajset let. To v primerih, ki se rešijo petih minutah. Trenta in Zreče so šolski primer! Foto: Posnetek zaslona-RTV Slovenija.Petan je korak za korakom, kljub svojemu bogastvu, spoznaval, da ga čaka težka bitka za preživetje v poslovnem svetu. Dlje časa je bil miren, saj je vedel, da ima ključne strukture v vrhu pravosodja, ki imajo odločilen vpliv na del tožilstva – Specializirano državno tožilstvo in Vrhovno sodišče Republike Slovenije – pokrite. Z drugimi besedami, govorimo o poslovnem omrežju neformalne skupine Komandos, ki izvira iz poslovnega miljeja še vedno nelikvidirane družbe Splošna plovba Portorož. Bojan Petan je še eden zadnjih preživelih gospodarstvenikov, ki izvirajo iz starega JLA-obveščevalnega kroga rdeče aristokracije. V javnosti sta se večkrat omenjala tudi Sebastjan Selan in Sandi Bonaca. O tem je leta 2016 kot novinar Reporterja Nenad Glucks pisal tudi v članku z naslovom Vsi obveščevalci Bojana Petana: agenti Sove v tajkunovi službi.Razkrivamo enega KLJUČNIH GREHOV zaradi katerega je doživel Petan sodno kalvarijo kot so jo pred njim doživljali Janša, nadzorniki, Milović, Bavčar, Valant in drugi?!!!! Zamerili so se ključnim obalnim omrežjem v državi!V medijih so se že večkrat pojavljale informacije, na čem stoji Petanov imperij. Kot smo že razkrili, je bil dlje časa eden pomembnejših lastnikov njegovega imperija luksemburški sklad York, a se je znotraj slovenske struje zgodil preobrat in York je postal Petanov sovražnik, ne več zaveznik.Primer, kako je Petan izgubil vso svojo poslovno moč. Ni treba biti genij, ko o tebi s plasiranimi članki piše novinarska raziskovalna trojka, ki je svojo kariero pričela prav pri Petanovem Dnevniku. (Foto: Posnetek zaslona-Siol)Ob tem je Petan ves čas mislil, da bo s svojim premoženjem na Obali ustvaril pogoje, da bo iz Obale imel nadzor nad obveščevalnimi službami, tožilstvom in sodstvom. Zelo se je zmotil. Ne glede na njegove posle s teniškimi igrišči v Portorožu ali prodaje Žusterne.Omrežju Splošne plovbe Portorož se je ZAMERIL SAMO Z ENIM ČLANKOM objavljen v njegovem Dnevniku!!! Kot smo opazili, je novinar Sebastjan Morozov dne 4.4.2014 napisal članek z naslovom Nemški lastnik Splošne plovbe v sodni preiskavi. Članek je na spletu izginil, mi pa imamo kopijo. Članek na prvi pogled ni nič posebnega, saj piše o zakulisju dogajanja o prodaju Splošne plovbe Portorož nemškemu ladjarju Dohle v času prve Janeševe vlade.Na desni strani izbrisan članek iz leta 2014, na levi originalen članek iz leta 2014. Zaradi tega članka se je pričel sesuvati s strani banksterjev kot akterjev Splošne plovbe sesuvati in uničiti gospodarski imperij Bojana Petana. (Foto: Posnetek zaslona-Dnevnik in Luka Perš)Gospod Petan, kdo je bil državni sekretar pri Bajuku v prvi Janševi vladi? Daniel Starman, oče Janeza, Marka in Jožeta Starmana. Kdo je bil odvetnik Splošne plovbe Portorož in vodje neformalne skupine KOMANDOS Alda Krejačiča? Gregor Velkaverh. Iz katere odvetniške pisarne prihaja Martina Žalcer Hrvatin, ki vas je branila? Iz odvetniške pisarne Mihe Kozinca. Kdo je bil v preteklosti hišni odvetnik Luke Koper? Miha Kozinc. Kdo je bil v preteklosti dolgoletni predsednik Odvetniške zbornice Slovenije? Miha Kozinc. Kdo je bil njegov podpredsednik? Gregor Velkaverh. Katera dva izmed naštetih odvetnikov imata skupno odvetniško pisarno, sedaj ločeno? Gregor Velkaverh in Janez Starman, sedanji predsednik Odvetniške zbornice Slovenije.Gregor Velkaverh in Janez Starman. (Foto: Posnetek zaslona- Odvetniška pisarna Velkaverh-Starman)Zdaj se pa Bojan Petan čudi, da je imel 50 OBRAVNAV!!! in se mu ne sanja, zakaj je dve leti doživljal tedensko sodno kalvarijo v KOPRU!! Na domačem dvorišču teh akterjev, katerih je dlje časa varoval tako medijsko kot finančno. A so ga sedaj izpljunili kot potepuškega ničvredna psa!Ali kraljica postopkov- tožilstvo ENOSTAVNO NE RAZUME ZAKONA O FINANČNIH KONGLOMERATIH? Ker točno po črki zakona so akterji izvedli vse te operacije! Zaradi tega se jih preganja že 16 let!!!Foto: Posnetek zaslona-N1 SlovenijaZgodba, ki Petana in soobtožene (Bogdan Pušnik, Marko Ignjič, Matjaž Satler) preganja že 16 let, se nanaša na obdobje 2007–2008, ko je potekalo lastninjenje Term Čatež. Očita se jim oškodovanje Term Čatež za 31 milijonov evrov ter Marine Portorož za milijon evrov. Jedro očitka je posojilo družbi M. B. Satler Matjažu Satlerju ter nakup in kasnejša prodaja obveznic družbe Delo Prodaja, ki naj bi bile prodane nazaj Marini po previsoki ceni.Kje smo že videli očitek, da je bilo nekaj prodano »preveč drago«? Primer Trenta. Nadzorniki Luke Koper v času prve Janševe vlade. Vsi primeri povezani z ljubljanskim županom Zoranom Jankovićem. Če je Janša končal v zaporu, nadzorniki v osebnih stečajih, pa ljubljanskega vožda še vedno rešuje court fishing in se giblje na prostosti skupaj s trenutnim predsednikom vlade dr. Robertom Golobom po lokalih v lasti Balkanskih bojevnikov. Gre za razlago poslovnih odločitev v holding strukturah, kjer so takšne transakcije del običajnega finančnega upravljanja.Če za razlago enega poslovnega modela potrebuješ 50 OBRAVNAV, potem je vprašanje, ali gre za jasen kazenski primer ali za spopad interpretacij zakonodaje.Zakon o finančnih konglomeratih, sprejet leta 2006, ureja delovanje finančnih holdingov in povezanih družb. V takšnih strukturah so prenosi kapitala, notranja posojila in odkupi deležev lahko zakoniti, če so izvedeni v skladu s tržnimi pogoji in zakonodajo. Ključno vprašanje v primeru Petan je torej: Ali so bile transakcije nezakonite – ali pa gre za različno razlago zakonodaje glede upravljanja holdingov?Petan, ki je dolgo verjel, da je zavarovan, danes stoji pred sodbo. Usoda se bo morda odločala na višjih sodnih instancah doma in v tujini. A eno je jasno: mit o Petanovi nedotakljivosti je padel.P.S.: Ta SDT je tako zavožen, da je začeti resno razmišljati o njegovi ukinitvi!Luka Perš

Sun, 22. Feb 2026 at 14:10

6586 ogledov

Afera #NISMOFEJK: KLASIKA! @nepridiprav Aleksandar Repić postal tarča diskreditacijskega medijskega krila Gibanja Svoboda!
Kot smo lahko pričakovali. Vplivnež z družbenih omrežij Aleksandar Repić (@nepridiprav) je po hitrem postopku spoznal, kako deluje del osrednjih medijev v Sloveniji. V preteklosti je razkrival teme, ki so zanimale širšo javnost, in takrat so mu mediji sledili. Ko pa se je znašel v neposrednem konfliktu z aktualno oblastjo, se je ton poročanja očitno spremenil. Od 13. januarja 2026 dalje Repić spoznava, kako hitro se lahko javna percepcija obrne. V zadevi Krčmar so številni ključni mediji molčali. Oglasili so se le posamezniki, odzivi pa so bili zadržani. Mi pa bomo verjetno ta teden poslali nekaj vprašanj na Odvetniško zbornico Slovenije. Zgodba se zdaj ponavlja.Repić je svoje sledilce pozval, naj sodelujejo v anketi, objavljeni na Instagram profilu predsednika vlade dr. Roberta Goloba. Rezultat očitno ni bil v skladu s pričakovanji vladajočih in trenutnega predsednika vlade Goloba. Sledili so burni odzivi. Vidni predstavniki Gibanja Svoboda so začeli govoriti o hekerskih, trolih in botovskih napadih iz tujine. Objavljeni so bili videoposnetki, v katerih so zatrjevali, da pred takšnimi napadi ne bodo popustili.Toda zgodba se je obrnila. Pod njihovimi objavami se je začela množično pojavljati oznaka #NISMOFEJK. Uporabniki so želeli jasno povedati: nismo boti, nismo troli, smo resnični ljudje. Več ali manj jih je napovedalo, da si je Gibanje Svoboda sama podpisalo smrtno obsodbo za morebitni prihajajoči neuspeh na parlamentarnih volitvaha.24 ur po burnih reakcijah javnosti in njegovih sledilcev, je Repić dobil diskreditacijski članek na Siolu, ki je pod močnim uredniškim vplivom Gibanje Svoboda. (Foto: Posnetek zaslona-Siol)Zakaj si je Repić zaslužil diskreditacijski članek medijskega krila Gibanje Svoboda na Siolu?Le 24 ur pozneje je bil objavljen članek z naslovom Podporniki SDS in Nova24TV v bran vplivnežu z zaporniško preteklostjo objavljen v spletnem mediju Siol, ki je izpostavil Repićevo kazensko preteklost. Dogodek, o katerem je Repić v preteklosti že večkrat javno govoril, v katerem je prevzel odgovornost in kazen tudi odslužil. Malo samo poklikajte nekaj starih njegovih nastopov v različnih podkastih, pa vam bo vse jasno.Vprašanje pa ostaja: zakaj ravno zdaj? Zakaj v trenutku, ko je postal glasen kritik aktualne oblasti? Ne smemo pozabiti, da so se v javnosti že večkrat pojavljale informacije, da je sedanje uredništvo Siola zelo naklonjeno največji vladni stranki Gibanje Svoboda. Samo si preberite kak članek novinarke Siola Mateje Trunk Hrvatin, pa vam bo vse jasno.Repića je težko politično predalčkati. V preteklosti je bil kritičen do različnih oblasti in ukrepov. Njegova mobilizacijska moč na družbenih omrežjih je očitna – več kot 100 tisoč sledilcev predstavlja pomembno skupnost, ki hitro reagira. Njegovi sledilci so se večkrat izkazali, da so zelo aktivni in se jih ne da odpraviti s populističnimi izgovori kot je bil ta nazadnje o hekerskem napadu na Instagram profilu aktualnega premiera in njegove stranke.Foto: Posnetek zaslona-IG Aleksandar Repić oz. @nepridiprav. Panika pred volitvami? Bo afera #NISMOFEJK game changer? Slab mesec pred volitvami se zdi, da je pri delu vladajoče politike nastala nervoza. Spregledali so moč družbenih omrežij in vpliv, ki ga imajo posamezni profili. Repićev je eden izmed njih. Množičen odziv sledilcev na eno samo anketo je bil očitno dovolj, da so sledile obtožbe o organiziranem napadu ter zapiranje možnosti komentiranja.In tu pridemo do bistva. Kam smo prišli, če se množično komentiranje označi za hekerski napad? Kam smo prišli, če se kritika razglasi za destabilizacijo? Kam smo prišli, če se odgovori z zapiranjem profilov in omejevanjem komentarjev?Svoboda ni udobna. Svoboda ni enosmerna. Svoboda ni samo takrat, ko so komentarji prijazni. Če oblast, ki v imenu nosi besedo svoboda, začne onemogočati komentiranje in utišati kritične glasove, potem si moramo zastaviti resno vprašanje: Ali gre še za svobodo – ali za nadzor? Državljani niso sovražniki. Kritika ni napad.In demokracija brez odprte razprave ni demokracija. To so vprašanja, ki jih bomo na #Prava.si še naprej odpirali.Luka Perš

Sat, 21. Feb 2026 at 17:26

7541 ogledov

SRAMOTA! Golob in Svoboda 101 tisoč sledilcev Aleksandra Repiča označila za bote in trole! #NISMOFEJK !!! sporoča LJUDSTVO!!!
Neverjetno, a resnično. Predsednik vlade dr. Robert Golob in najbolj vidni člani Gibanja Svoboda so zagnali vik in krik, da naj bi se nad Golobovim Instagram profilom zgodil načrtovan hekerski napad iz tujine s slovenskimi naročniki. Poslanec Žavbi je povedal, da se je pod Golobovimi objavami pojavilo pet tisoč komentarjev. Vendar je resnica, kot kaže, veliko preprostejša od tiste, ki jo predstavljajo Golob in najvidnejši predstavniki njegove stranke. To se lahko zgodi samo pri nas. Instagram vplivnež Aleksandar Repić je svojih več kot sto tisoč sledilcev pozval, naj pod objavami predsednika vlade dr. Roberta Goloba napišejo komentar. Kot kaže, se je res zgodil množični odziv, med katerim je bilo veliko kritičnih komentarjev o delu aktualne vlade. Toda to naj bi sedanje oblastnike tako prestrašilo, da so zaprli tako Golobov Instagram profil kot tudi profil Gibanja Svoboda in predstavili da gre za ORGANIZIRAN HEKERSKI NAPAD IZ TUJINE. Jezni Repićevi sledilci, ki jih je več kot 100 tisoč, Golobu in Gibanju Svoboda sporočajo: #NISMOFEJK. Repić pa zahteva tudi javno soočenje z Golobom. Še bo pestro.Ali se predsednik vlade dr. Robert Golob in njegova stranka Gibanje Svoboda zapletata v afero, ker se jima je – zgodilo ljudstvo? V zadnjih 24 urah beremo o domnevnem kibernetskem napadu na Instagram profil predsednika vlade dr. Roberta Goloba in njegove stranke Gibanje Svoboda. Po besedah poslanca iste stranke Lenarta Žavbija se je nenadoma pojavilo več kot pet tisoč uporabnikov, ki so množično komentirali njihove objave. Predvsem objave dr. Roberta Goloba. V paniki so sedaj za javnost njegov profil zaprli. Foto: Posnetek zaslona- N1 Slovenija.Žavbi je hitro navedel domnevnega krivca. Sledili so odzivi kandidatov in predstavnikov stranke, ki so govorili o organiziranem hekerskem napadu iz tujine. Predsednik vlade dr. Robert Golob je izjavil, da naj bi šlo za slovenske naročnike. Generalni sekretar stranke Matej Grah pa je sporočil, da so zadevo predali pristojnim organom. Njihovi razlagi so sledili tudi osrednji mediji. A morda je razlaga precej preprostejša.Foto: Posnetek zaslona- Instagram profil Aleksandar Repić oz. @nepridiprav. Kaj se je v resnici zgodilo?Na Instagramu je že dalj časa aktiven vplivnež Aleksander Repič (@nepridiprav), ki ima 101 tisoč sledilcev. V preteklosti je javno govoril o svoji življenjski zgodbi ter o izvoru svojega vzdevka. Foto: Posnetek zaslona-IG Aleksandar Repić. Danes deluje kot spletni komentator in razkrivalec domnevnih nepravilnosti v policiji, tožilstvu, sodstvu in medijih. Zelo verjetno je svoje sledilce pozval, naj pod objavami predsednika vlade in njegove stranke izrazijo svoje mnenje. Očitno ni pričakoval, da bo odziv tako množičen. Njegovi sledilci so se odzvali – in komentirali zelo verjetno po reakcijah Goloba in Svobode kritično. Po navedbah poslanca Žavbija naj bi jih bilo okoli 5.000.Foto: Posnetek zaslona- Instagram profil Aleksandar Repić oz. @nepridipravBoti ali državljani? Jezni sledilci Repića Golobu in Gibanju Svoboda sporočajo da NISMOFEJK ! Si bo "vedno pogumni Golob" upal soočiti z Repićem??Po mnenju podpornikov ne gre za bote ali trole, temveč za resnične ljudi z imenom in priimkom. Kot kaže so poziv Repića vzeli resno in komentirali objave Goloba. Zdaj pa jih najvišji politični predstavnik, njihova stranka ZMERJA S TROLI IN BOTI!!! Pazite to, resnične ljudi z imenom in priimkom! Repič je zelo hitro organiziral svoje sledilce, ki so šli v množično protiofenzivo.Predsednik vlade dr. Robert Golob dramatično govori o "hekerskem napadu" iz tujine. V resnici pa so sledilci Instagram vplivneža Aleksandra Repića le izrazili svoje demokratično mnenje. Zdaj pa so tako zaprli profil Goloba kot stranke GS. (Foto: Posnetek zaslona-IG Aleksandar Repić)Ljudje so pod objavami ostalih vidnih predstavnikov Gibanje Svoboda uporabljati oznako #NISMOFEJK ter poudarjati, da izražajo lastno mnenje. Pa če tudi kritično in neprijetno mesec dni pred rednimi parlamentarnimi volitvami. Zdaj je še Repić in njegovih 101 tisoč sledilcev spoznava, da je SVOBODA v resnici DIKTATURA!Foto: Posnetek zaslona-Instagram profil Aleksandar Repić oz. @nepridiprav. Sedaj Aleksandar Repić javno poziva predsednika vlade k soočenju. Njegovi podporniki pa stranki očitajo, da označevanje kritikov za bote pomeni podcenjevanje državljanov in omejevanje svobode izražanja. Glede na to, da so prav Repičevi podporniki, ki verjamejo v svobodo govora in za njo stojijo s svojim imenom in priimkom! To je ključni POINT, ki ga Golob in njegova stranke enostavno ne razumejo!Foto: Posnetek zaslona-IG Aleksandar Repić.Spoštovani predsednik vlade dr. Robert Golob, generalni sekretar Gibanja Svoboda Matej Grah, poslanec Lenart Žavbi in ostali vidni predstavniki stranke, če je šlo za prenagljeno reakcijo, jo je mogoče popraviti. Opravičilo državljanom, ki so bili označeni za trole in bote, bi pokazalo politično zrelost.Foto: Posnetek zaslona-IG Aleksandar RepićDržavljani, ki množično izražajo kritiko, so del demokratičnega procesa. Predsednik vlade opravlja najvišjo politično funkcijo v državi in mora biti zgled – tudi v komunikaciji. Kako se bo zgodba razvila, bo pokazal čas.Alenka Bratušek, nekdanja predsednica vlade, zdaj ministrica za infrastrukturo in vidna članica Gibanje Svobode. (Foto: Posnetek zaslona- IG Aleksandar Repi oz. @nepridiprav) Jasno pa je, da @nepridiprav in njegovih 101 tisoč sledilcev ne nameravajo odnehati. Glede na to, da je dosegel več kot 100 tisoč sledilcev sedaj Repić že obljublja, da bo ustanovil kmalu ustanovil neprofitno družtvo oziroma gibanje #NISMOFEJK! Še bo pestro!Veliko sledilcev Repića pod drugimi objavami Gibanje Svoboda in njihovih članov sedaj označuje sebe #NISMOFEJK!. (Foto: Posnetek zaslona-IG Gibanje mladi)Foto: Posnetek zaslona- IG poslanka Gibanje Svobode Lucija Tacer Perlin. Foto: IG Gibanje Svoboda.Tukaj pa še nekaj preostalih fotografij:Foto: IG Aleksandar Repić oz @nepridiprav Foto: Posnetek zaslona IG Aleksandar Repić oz. @nepridiprav.Foto: Posnetek zaslona IG Aleksandar Repič oz @nepridiprav.Foto: Posnetek zaslona- IG Aleksandar Repić oz @nepridiprav.Foto: Posnetek zaslona- IG Aleksandar Repić oz. @nepridiprav Foto: Posnetek zaslona- IG Aleksandar Repić oz. @nepridiprav.Nekdanji poslanec Gibanje Svoboda Miha Lemut. (Foto: Posnetek zaslona-IG Aleksandar Repić oz. @nepridiprav. Poslanka Gibanje Svoboda Janja Sluga. (Foto: Posnetek zaslona- IG Aleksandar Repić oz @nepridiprav)Foto: Posnetek zaslona-IG Aleksandar Repić oz @nepridiprav.Luka Perš

Sat, 14. Feb 2026 at 08:34

5526 ogledov

KSENIJA HORVAT hoče EKIPO TARČE UNIČITI, ker so odkrili novo LITIJSKO v Mostah!! preplačano VEČ MILIJONOV EVROV!
Zdaj je več kot očitno znano, zakaj se je zgodila cenzura zadnje Tarče. Kljub temu da sta hoteli direktorica Televizije Slovenije Ksenija Horvat in Polona Fijavž s pomočjo izjav Društva novinarjev Slovenije, predstavnika Glasa ljudstva Jaše Jenulla in nekaterih osrednjih medijev zgodbo spreobrniti v popolnoma drugo smer – da je oddaja Tarča postala neprofesionalna in da ni vredna javnega servisa.Foto: Posnetek zaslona- N1 SlovenijaRes je, oddaja Tarča je verjetno že leto dni pod vodstvom depolitizirane elite tarča kritik. V času desnih vlad pomeni kritika Tarče konec neodvisnega novinarstva in rušenje »fašizma«, v času levih vlad pa pomeni kritika Tarče, da je uredništvo neodgovorno, Erika neprofesionalna in da so oddaje katastrofalne.Foto: Posnetek zaslona- Info360Ampak ekipa Tarče od svoje prve oddaje počne isto. Verjetno bodo to počeli tudi v prihodnje. Zato je prav, da imamo slovenski državljani vsaj tedensko možnost spremljati 70- minut raziskovalnega novinarstva na RTV Slovenija.Zelo verjetno je bil ključen razlog odpovedi Tarče zgodba o dopustovanju Roberta Goloba in njegove sedanje žene Tine Gaber Golob na hrvaškem Ugljanu leta 2025. Ekskluzivne informacije sta razkrila novinarja Zanima.me Mirko Mayer in Peter Merše v epizodah Tedenskega in Special safarija, Mayer pa je to zapisal še v članku z naslovom Razkrita »zlata kletka« Roberta Goloba: s Tino Gaber ga gostijo na Ugljanu, živi pri njih v Trnovem. Kdo nadzira njegovo intimo in državne milijone?.Foto: Posnetek zaslona-Zanima.meZgodba je dobesedno šokantna. Mogoče odgovarja še na eno misteriozno vprašanje – kdo v resnici plačuje eno najdražjih najemnin v Sloveniji in ali je to lahko povezano s sklenjenimi posli v hčerinskih družbah Slovenskih železnic.Že v preteklosti se je poročalo, da bi glede na podatke morala zakonca Golob–Gaber plačevati 4.500 evrov mesečne najemnine. Kljub temu da vsaj po javno dostopnih podatkih zakonca Gaber mesečno ne zaslužita več kot 5 tisoč evrov neto, se postavlja vprašanje, na kak način se najemnina plačuje.V tem stanovanjskem kompleksu v Trnovem živita zakonca Golob Gaber. Ali res plačujeta najemnino v višini 4500 evrov ali pa imata popust, ker se poznata osebno z lastnikom Darko Perkom? (Foto: Posnetek zaslona-X)Že lani so Slovenske novice in tudi Tarča poročale, da je stanovanje v Trnovem last podjetja Eltim podjetnika Darka Perka, tudi člana SDS in osebnega prijatelja Janše. Osrednji mediji pa so ga leta 2023 predstavljali kot enega izmed pobudnikov vaških straž na območju Ivančne Gorice. Mayer pa ga označuje za podjetnika, ki odlično sodeluje tako z levo kot z desno usmerjenimi ljudmi. Po dobrem letu dni bi bil lahko misterij skrivnostnega plačevanja najemnine razrešen. Vsaj po poročanju Zanima.me je zgodba zelo verjetno potekala takole: Tina Gaber Golob je v preteklosti delala tudi v eni izmed hčerinskih družb Slovenskih železnic, kjer je bil zaposlen tudi Miha Piškur, znan po svojem podjetju DC Limited, ki je bilo večkrat razkrito v zadnjih Tarčah. Prav Piškur naj bi Gabrovi omenil stanovanje v Trnovem v lasti Perka.Že večkrat so se pojavljala vprašanja, na kak način zakonca Golob–Gaber plačujeta najemnino. V preteklosti se je med drugim domnevalo, da bi se lahko najemnina plačevala neposredno z računa podjetja Star Solar v lasti predsednika vlade dr. Roberta Goloba, kar je še ena dolgoletna sporna zgodba trenutnega premierja.Ali je zaradi stavbe v Mostah bila odpovedana Tarča? Po poročanju Mayerja in Meršeta gre za nič manj kot novo verzijo Litijske, samo tokrat v glavni vlogi mobilna postavljena stavba v Mostah za hčerinsko podjetje SŽGP. (Foto: Posnetek zaslona-Zanima.me)Kot razkriva Mayer, je bilo omenjeno Perkovo podjetje vpleteno v enega izmed poslov Slovenskih železnic (zadeva Moste), kjer naj bi se zgodila preplačila v višini več milijonov evrov na račun podjetja Eltim. Sodeč po fotografijah lahko to afero gladko poimenujemo še ena afera v slogu litijske – samo da tokrat večinski osrednji mediji niso zagnali vika in krika, ker je denar prišel v »prave roke«. Tam je bil nakup stare dotrajane stavbe, tukaj pa gradnja mobilne stavbe za 8 milijonov evrov.Ob vsem tem sta novinarki Preiskovalno.si Nataša Markovič in Barbara Pence našli kar nekaj indicev, da slovenska javnost lahko dvomi v pristnost računa za plačane počitnice v Ugljanu sedanjega zakonskega para Golob–Gaber.Foto: Posnetek zaslona-Preiskovalno.siTemu dodajte še odkritja v državnem Darsu, kjer so se razkrile nove sumljive informacije o bratih Ribič pri gradnji nove stavbe Darsa, ki se je podražila že za več kot 10 milijonov evrov, ter preobrazbo ministrstva za kmetijstvo, gozdarstvo in prehrano v vegansko/vegetarijansko ministrstvo po okusu soproge predsednika vlade Roberta Goloba – in jasno je, zakaj so še enkrat nikogaršnji hlapci dokazali, kaj pomeni depolitizirana medijska svoboda.Foto: Posnetek zaslona-Preiskovalno.siHvala lepa, da se je zgodila Tarča. Nikoli več pripadniki nikogaršnjih hlapcev, podprti s sprijenim kapitalom globalistične kabale ( primer Open Society- družina Soros), ne jočite o medijski svobodi v naši državi. Zdaj ste dokazali, da ste pripravljeni žrtvovati tudi osebo in oddajo, ki ste ji sami s svojo medijsko mašinerijo v službi tranzicijskega režima ustvarili podobo nedotakljive oddaje.Foto: Posnetek zaslona-PortalplusZdaj se je izkazala kruta resnica, da so oddajo Tarča in njeno voditeljico Eriko Žnidaršič izkoristili za svoje pritlehne osebne cilje. Tukaj sta Polona Fijavž in Ksenija Horvat prvi predstavnici #Nikogaršnjihhlapcev, ki sta v preteklosti stali v prvih vrstah in opozarjali na pritiske na Tarčo v času zadnje Janševe vlade in na delovanje takratnega direktorja Televizije Slovenije Uroša Urbanije. Zdaj pa hočeta uničiti edino raziskovalno oddajo (ne glede na kritike ali pohvale), ki obstaja na RTV Slovenija.Svojo potezo sta potegnili tudi sedanji opozicijski stranki SDS in Nova Slovenija, ki se ne bosta udeležili predvolilnih soočenj, preden RTV Slovenija ne bo predvajala cenzurirane Tarče.Direktorica TV Slovenija Ksenija Horvat. (Foto: Posnetek zaslona- Nova24tv)To, kar se dogaja danes Tarči, se je leta 2013 zgodilo z istimi ljudmi kot sedaj ustvarjalcem oddaje Pogledi Slovenije, predhodnice sedanje Tarče. Ali se zgodovina ponavlja? Bomo videli.Uroš Slak in Bojan Traven sta leta 2013 doživela cenzuro, potem pa še odpoved raziskovalne oddaje Pogledi Slovenije, ki je veljala za predhodnico današnje Tarče. (Foto: Posnetek zaslona-Youtube)Luka Perš
Teme
KRIVOPRIČANJE dEJANSUC GibanjeSvoboda turističnazvezaLendave

Zadnji komentarji

Prijatelji

NAJBOLJ OBISKANO

POSLANEC GIBANJA SVOBODA DEJAN Süč LAGAL POD PRISEGO? Bo doživel ISTO RIGOROZNO POSTOPANJE KOT NOVINAR PRAVA LUKA PERŠ????